2025-10-30, Lief dagboek
Donderdag; Wat eten we vandaag?; Trump Orders U.S. Nuclear Weapons Tests; Sit-in van Rijksambtenaren.

Wat eten we vandaag?:
Knipselkrant:
Agenda:
Weer:

Links:
In de geschiedenis
Donderdag; Wat eten we vandaag?; Trump Orders U.S. Nuclear Weapons Tests; Sit-in van Rijksambtenaren.

Wat eten we vandaag?:
Knipselkrant:
Agenda:
Weer:

Links:
In de geschiedenis
Zaterdag; Wat eten we vandaag?; Nuclear winter; Gaza−Israël oorlog 2023 – …; En ik eis dat élk kind van 17 veilig thuiskomt; Dag voor de Slachtoffers van Gedwongen Verdwijningen; Dag van de Walvishaai; Doctor Who.

Wat eten we vandaag?
Knipselkrant:
Agenda:
Weer:

Links:
In de geschiedenis
Vrijdag; Wat eten we vandaag?; Bluesky; gehackte routers door China; Roodharigendag; Dag tegen Kernproeven.

Wat eten we vandaag?
Knipselkrant:
Agenda:
Weer:

Links:
In de geschiedenis
![]()
In 1945 voerden de Verenigde Staten in Japan twee aanvallen met een kernbom uit.
Op 6 augustus werd de bom “Little Boy” boven de Japanse havenstad Hiroshima tot ontploffing gebracht. Drie dagen later werd een tweede bombardement uitgevoerd, nu met de bom “Fat Man” boven de stad Nagasaki. Drie dagen later besloot keizer Hirohito tot de onvoorwaardelij
Links:
6 augustus – Atomic Bomb Day
Treaty on the Prohibition of Nuclear Weapons – adopted (2017)
Herdenking Hiroshima Groningen
Tachtig jaar na Hiroshima sterft de stem van het verleden langzaam uit
Hiroshima warns against nuclear weapons as it marks 80 years since A-bomb

The Doomsday clock, which symbolically measures how close the world is to nuclear war, is currently at 89 seconds until midnight – the closest it’s ever been.
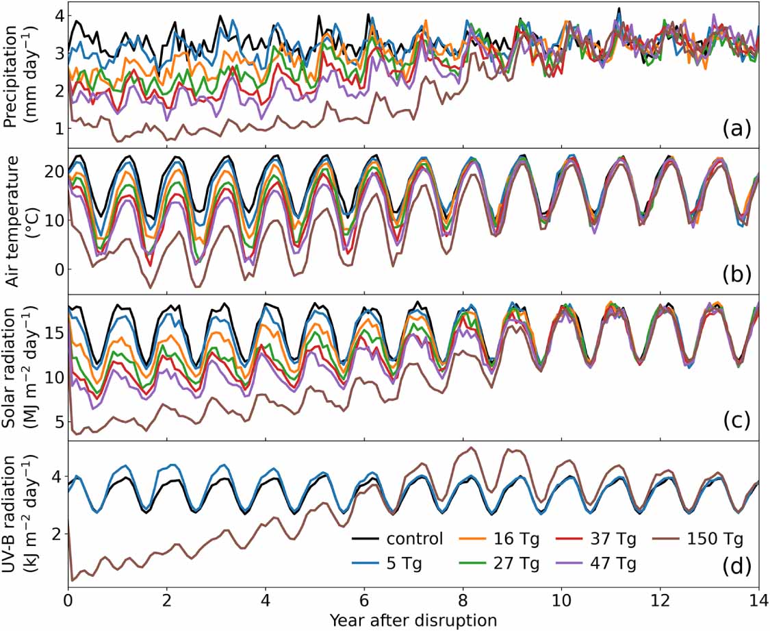
Over the past few years, we’ve also heard two presidents discuss the “nuclear option.” This is all to say that the world is surprisingly close to nuclear war. We’ve just become numb to that reality. But what happens after the nuclear bombs go off? A team led by researchers at Penn State have modelled precisely how various nuclear winter scenarios could affect global production of corn, the most widely planted grain crop in the world. They also recommended preparing ‘agricultural resilience kits’ with seeds for faster-growing varieties better adapted to colder temperatures that could potentially help offset the effects of nuclear winter, as well as natural disasters such as volcanic eruptions. In findings recently published in Environmental Research Letters, the team reported that the level of corn crop decline would vary, depending on the scale of the conflict. A regional nuclear war, which would send about 5.5 tonnes of soot into the atmosphere, could reduce worldwide annual corn production by seven per cent. A large-scale global war, injecting 165 tonnes of soot into the atmosphere, could lead to an 80 per cent drop in annual corn yields. In all, the study simulated six nuclear war scenarios with varying soot injections.
Because of the crop’s global significance, the researchers chose to model corn’s collapse in a nuclear winter to represent the expected fate of agriculture overall, according to study first author Yuning Shi, associate research professor in Penn State’s Department of Plant Science. He noted that an 80 per cent drop in global crop production would have catastrophic consequences, leading to a widespread global food crisis. Even a seven per cent drop in global crop production would have a severe effect on the global food system and economy, likely resulting in increased food insecurity and hunger. The simulations were possible thanks to the Cycles agroecosystem model, created a few years ago by scientists in Penn State’s College of Agricultural Sciences, including lead developer Armen Kemanian, professor of production systems and modelling and corresponding author on this study. Using high-performance computing and considering atmospheric conditions, Cycles enables large-scale, high-resolution, multi-year simulations of crop growth by meticulously tracking the carbon and nitrogen cycles within the soil-plant-atmosphere system.
Donderdag; Wat eten we vandaag?; Gaza−Israël oorlog 2023 – …; Week tegen Eenzaamheid; Day for the Total Elimination of Nuclear Weapons; Supermarkten oneerlijk over prijsverlagingen; Bereikbaarheid in Nederland; Amsterdamse Burgermonitor; Cycloon Boris 2024.

Wat eten we vandaag:
Knipselkrant:
Agenda:
Weer:

Links:
In de geschiedenis
Dinsdag; Wat eten we vandaag?; Vakantie & verbouwing; Atomic Bomb Day; Lancering van de allereerste website.

Wat eten we vandaag?:
Vakantie & verbouwing:
A3 was uitgenodigd voor, en aanwezig op, een verjaardag.
Agenda:
Weer:

Links:
In de geschiedenis
![]()
In 1945 voerden de Verenigde Staten in Japan twee aanvallen met een kernbom uit.
Op 6 augustus werd de bom “Little Boy” boven de Japanse havenstad Hiroshima tot ontploffing gebracht. Drie dagen later werd een tweede bombardement uitgevoerd, nu met de bom “Fat Man” boven de stad Nagasaki. Drie dagen later besloot keizer Hirohito tot de onvoorwaardelij
Op een open veld dat is ontstaan door de explosie van de atoombom werd het Hiroshima Peace Memorial Park gebouwd. Elk jaar wordt daar op 6 augustus (Atomic Bomb Day) de Hiroshima Peace Memorial Ceremony gehouden. Aanwezige zijn overlevenden, nabestaanden, familieleden en vertegenwoordig
Links:
6 augustus – Atomic Bomb Day
Treaty on the Prohibition of Nuclear Weapons – adopted (2017)
![]()
In 1945 voerden de Verenigde Staten in Japan twee aanvallen met een kernbom uit.
Op 6 augustus werd de bom “Little Boy” boven de Japanse havenstad Hiroshima tot ontploffing gebracht. Drie dagen later werd een tweede bombardement uitgevoerd, nu met de bom “Fat Man” boven de stad Nagasaki. Drie dagen later besloot keizer Hirohito tot de onvoorwaardelij
Op een open veld dat is ontstaan door de explosie van de atoombom werd het Hiroshima Peace Memorial Park gebouwd. Elk jaar wordt daar op 6 augustus (Atomic Bomb Day) de Hiroshima Peace Memorial Ceremony gehouden. Aanwezige zijn overlevenden, nabestaanden, familieleden en vertegenwoordig
Links:
6 augustus – Atomic Bomb Day
Treaty on the Prohibition of Nuclear Weapons – adopted (2017)